تست هوش المپیادی / حتی افرادی با ضریب هوشی «آلبرت انیشتین» نمی‌توانند معمای «زاویه مجهول» را در3 ثانیه طلایی حل کنند

  سه شنبه، 29 مهر 1404   زمان مطالعه 1 دقیقه
تست هوش المپیادی / حتی افرادی با ضریب هوشی «آلبرت انیشتین» نمی‌توانند معمای «زاویه مجهول» را در3 ثانیه طلایی حل کنند
ساعدنیوز: انجام بازی‌های فکری معمایی می‌توانند علاوه بر جنبۀ سرگرمی به تقویت حافظه و بالابردن ضریب هوشی افراد کمک کنند. در این بازی فکری باید سعی کنید معما را در کمترین زمان ممکن حل کنید.

به گزارش سرویس معما وهوش پایگاه خبری ساعدنیوز، اگر عاشق چالش‌های فکری و معماهای سخت هستید، بخش «حل معماهای المپیادی» مخصوص شماست! در اینجا با سوالاتی روبه‌رو می‌شوید که ذهن نابغه‌ها را هم به چالش می‌کشد. همراه با توضیح کامل مراحل حل، تکنیک‌های منطقی و ترفندهای هوش، قدم‌به‌قدم معماها را مثل یک المپیادی واقعی حل کنید!

برای دوستداران مثلثات! (مرحله ی اول سیزدهمین المپیاد ریاضی کشور)

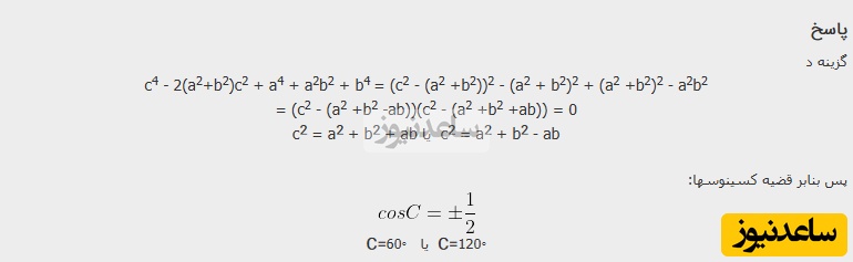
اگر بین اضلاع یک مثلث رابطه‌ی زیر برقرار باشد، زاویه C چه مقداری خواهد داشت؟

c4 - 2(a2 + b2)c2 + a4 + a2b2 + b4 = 0

الف) دقیقا ◦30

ب) دقیقا ◦60

ج) دقیقا ◦120
د) ◦60 یا ◦120
هـ) ◦30 یا ◦120

پاسخ تست هوش:

برای مشاهده مطالب مرتبط با معما و هوش اینجا کلیک کنید


دیدگاه ها


  دیدگاه ها
پربازدیدترین ویدئوهای روز   
آخرین ویدیو ها