یکی از مهم ترین نکاتی که در هنگام سرمایه گذاری در پلتفرم های مختلف امور مالی غیر متمرکز (Decentralized Finance) یا دیفای (DeFi) مثل استخرهای لیکوئیدیتی، پلتفرم های وام و … باید به آن توجه داشته باشید، میزان سود قابل انتظار است که معمولا به دو صورت APY و APR بیان می شود. اما تفاوت APY و APR چیست؟ در ادامه با ما همراه باشید.
APY چیست و چطور محاسبه می شود؟
همانطور که گفتیم، APY به معنی بازده درصدی سالیانه است. منظور از بازده درصدی سالیانه، نرخ واقعی بازگشت سرمایه با در نظر گرفتن سود مرکب است. سود مرکب، برخلاف سود ساده، به صورت دوره ای محاسبه و مقدار آن به صورت فوری و پس از پایان هر دوره که می تواند یک روز، یک هفته یا یک ماه طول بکشد، به سرمایه اولیه اضافه می شود. بنابراین، با گذشت هر دوره، میزان پول سرمایه گذاری شده بیشتر و سود سرمایه گذاری در دوره بعدی بر اساس سرمایه اولیه + سود سرمایه گذاری دوره قبلی محاسبه می شود. بنابراین، سود سرمایه گذاری به صورت نمایی افزایش پیدا می کند.
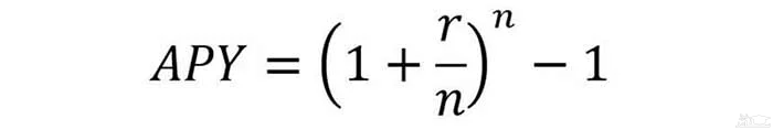
فرمول و نحوه محاسبه سود APY
APY با بیان کردن درصد واقعی رشد سرمایه که از سود ترکیبی به مدت یک سال به دست می آید، میزان بازگشت سرمایه را نشان می دهد. فرمول محاسبه APY به شرح زیر است.در فرمول زیر، n تعداد دوره های محاسبه سود ترکیبی را نشان می دهد و r نشان دهنده نرخ سود هر دوره است.

کاربرد APY
معیار سنجش موفقیت هر سرمایه گذاری، بازدهی آن است. نرخ بازگشت سرمایه، به صورت درصد رشد سرمایه در یک دوره زمانی مشخص تعریف می شود. با این حال، ممکن است که محاسبه نرخ بازگشت سرمایه از چندین سرمایه گذاری در صورت تفاوت در دوره های محاسبه سود مرکب، دشوار باشد.مقایسه نرخ بازگشت سرمایه از سرمایه گذاری های مختلف، تنها با در نظر گرفتن درصد بازگشت سرمایه در هر سال خیلی دقیق نیست زیرا در این صورت، سود مرکب در نظر گرفته نمی شود. پیش از سرمایه گذاری باید بدانید که سود ترکیبی به چه صورت محاسبه می شود. برای مثال، اگر سود ترکیبی به صورت روزانه محاسبه شود، سرعت رشد سرمایه شما در مقایسه با زمانی که سود ترکیبی به صورت هفتگی محاسبه می شود، بیشتر است.
APR چیست و چطور محاسبه می شود؟
منظور از APR سود سالیانه مجموع سرمایه گذاری است. APR به صورت درصدی بیان می شود که نشان دهنده سود به دست آمده از سرمایه اولیه است. دقت داشته باشید که این سود به صورت مرکب محاسبه نمی شود. APR عددی نهایی است که سرمایه گذاران می توانند در پایان هر سال سرمایه گذاری، به دست آورند.برای مثال اگر ۱۰ هزار توکن X داشته باشید و آن را در یک استخر لیکوئیدیتی با APR برابر ۲۰ درصد سرمایه گذاری کنید، پس از پایان یک سال، ۲۰۰۰ توکن X را به عنوان پاداش دریافت می کنید. در واقع، در پایان سرمایه گذاری یک ساله می توانید ۱۲ هزار توکن X را از استخر لیکوئیدیتی بردارید. اگر سرمایه گذاری شما دو ساله باشد، سودی که در پایان دو سال به شما تعلق می گیرد، ۴۰۰۰ توکن X است و اگر سرمایه گذاری شما سه ساله باشد، در انتهای سه سال می توانید ۱۶ هزار توکن X را از استخر لیکوئیدیتی بردارید.

بررسی تفاوت APY و APR در رمزارزها
هر دو شاخص APY و APR برای محاسبه سود سرمایه گذاری و وام دهی رمزارزی استفاده می شوند. با این حال عدد حاصل از اعمال این شاخص ها یکسان نیست. با توجه به اینکه APR سود مرکب را در نظر نمی گیرد، اعمال شاخص APY همیشه مبلغ بیشتری را نصیب سرمایه گذار خواهد کرد.درک تفاوت APY و APR در رمزارزها به ما کمک می کند بهترین پلتفرم برای سرمایه گذاری را پیدا کنیم. از نظر تئوری، شاخص APR به نفع وام گیرندگان است اما سرمایه گذاران به دنبال APY بیشتری هستند چراکه شاخص APY باعث به حداکثر رسیدن سود آنها می شود. اکثر پلتفرم های DeFi از شاخص APR استفاده می کنند. بنابراین سرمایه گذاران باید سودهای به دست آمده را مجدداً سرمایه گذاری کنند تا سود مرکب به دست آورند.
کدام شاخص عمکلرد بهتری دارد؟
شاخص APY تصویر واضحی از پتانسیل درآمدی به ما می دهد اما APR نرخ بدهکاری را مشخص می کند. هر دو به صورت سالانه محاسبه می شوند. وام گیرندگان باید توجه ویژه ای به نرخ APR داشته باشند و سرمایه گذاران و تأمین کنندگان نقدینگی نیز باید به دنبال بالاترین نرخ APY باشند. بنابراین نمی توان گفت کدام شاخص بهتر است؛ زیرا هر کدام کاربرد خاصی دارد.
مفاهیم APR و APY ممکن است در ابتدا گیج کننده به نظر برسند؛ اما زمانی که به خاطر بسپاریم درصد بازده سالانه (APY) معیاری پیچیده تر و شامل سود مرکب است، کارمان راحت تر می شود. به دلیل اثر کسب سود از سود، APY در طول بازه چندساله سود بیشتری از سرمایه گذاری یک ساله به همراه خواهد داشت. مؤسسه های مالی براساس وام دهنده یا وام گیرنده بودن، ممکن است طرح های تشویقی مختلف را با نرخ های متفاوتی به شما پیشنهاد کنند. بنابراین، همیشه هنگام محاسبه سود به معیار ارائه شده توجه و آن را با سایر مؤسسه های مالی مقایسه کنید. تفاوت اعداد ممکن است گاهی باعث تعجب شما شود؛ زیرا در صورتی که نرخ ها بر حسب APR یا APY ارائه شوند، ممکن است تفاوت زیادی باهم داشته باشند. علاوه براین، باید به بازه زمانی ارائه شده توجه کرد.
آشنایی با ارز دیجیتال سل فریم (Cellframe)










































